滚珠丝杠是什么,滚珠丝杠传动计算公式
滚珠丝杠是什么,滚珠丝杠传动计算公式
滚珠丝杠是相当常见的传动方式,适合应用在高精度,短行程的场合。滚珠丝杠主要有以下几个参数:

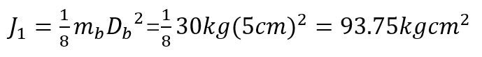
1,公称直径Db,即螺杆的直径。公称直径越大,传递的扭矩也越大,根据实际应用合理选取。一般有12、16、20、25、32、40、50等常用公称直径
2,选取公称直径以后需要确定导程Pb,导程即是丝杠转动一圈螺母运动的直线距离,常见的导程有1、2、4、6、8、10、12、16、20、25等。
3,精度等级,滚珠丝杠是一种高精度传动产品,一般以C0-C10来区分,数值越大,精度越低。常用的有C7和C5,C7用在一般精度产品上,C5用在高精度产品上。对精度要求更高的光学检测产品会使用C3产品。

运动学相关公式:
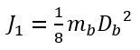
丝杠转动惯量

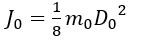
联轴器转动惯量

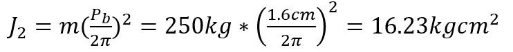
滚珠丝杠负载惯量

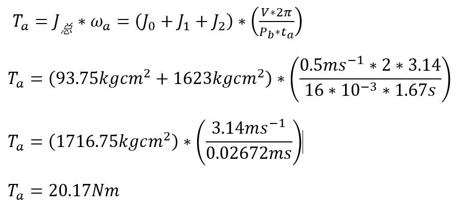
加速力矩

匀速力矩

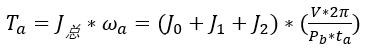
总力矩

注:mb-丝杠质量,Db-丝杠公称直径,mo-联轴器质量,Do-联轴器外径,m-负载质量,Pb-滚珠丝杠导程,v-负载运动速度,ta-负载加速时间
实际选型计算
设计一款滚珠丝杠传动机构,负载250kg,丝杠导程Pb=16mm,丝杠公称直径Db=50mm,丝杠质量mb=30kg,丝杠传动摩擦系数µ=0.02,传动效率η=0.9,负载移动最大速度v=0.5m/s,要求走完整个行程时间控制在4秒以内,丝杠整个行程1m,请选择合适的电机。

假设走完整个行程需要3.67秒,由速度-时间图可知,加速运动时间1.67秒,匀速运动时间0.33秒,减速运动时间1.67秒。
计算过程
丝杠惯量

实际工程中联轴器转动惯量很小,此处忽略不计
电机所需转速

滚珠丝杠负载惯量

加速力矩

匀速力矩

电机所需总力矩

以某品牌伺服电机为例

额定扭矩22.63Nm,峰值扭矩120Nm,电机本身转动惯量76.8kgcm^2,
惯量比=负载惯量/电机自身惯量=(16.23kgcm^2+93.75kgcm^2)/76.8kgcm^2<5
实际应用中,惯量比小于5,电机响应速度都很快,推荐使用。
可以满足使用要求。
笔者在该工程实例中故意留坑,有一处明显和实际不符,不知是否会有专业朋友发现,如果发现,欢迎在评论区指出。
以上是实际工程中常用的滚珠丝杠结构电机选型实例,有不足之处欢迎在评论区指正!
-
- 株罂粟是什么?是普通人种了会坐牢的植物,其有外号叫大烟和鸦片
-
2025-12-25 11:57:55
-
- 投递员是干什么的:邮政行业的关键角色
-
2025-12-25 11:55:50
-
- 二次元入门:什么是表番
-
2025-12-24 13:19:57
-
- 刺杀伊朗高官、被苏-27撞落坠海,“死神”无人机都干了些什么
-
2025-12-24 13:17:53
-
- 明朝李自成起义,他为何萌生起义想法?又对当时造成什么的影响?
-
2025-12-24 13:15:48
-
- 红楼梦:高傲的芳官为自己的任性付出了什么代价?
-
2025-12-24 13:13:44
-
- 英国GDP2.83万亿美元,是什么概念,等于13个新西兰、194个几内亚
-
2025-12-24 13:11:39
-
- 私人会所是你想象不到的精彩?网友:第一次知道了什么叫声色犬马
-
2025-12-24 13:09:35
-
- 欧洲史:16世纪的欧洲社会发展是什么样的?
-
2025-12-24 13:07:31
-
- 牵羊礼是什么?为何女子受此刑后选择自尽,男子却苟活
-
2025-12-24 13:05:26
-
- 什么是大健康产业?它的未来是什么?
-
2025-12-24 13:03:22
-
- 红军长征时走过的松潘草地,现今是个什么状况呢?
-
2025-12-24 13:01:18
-
- 手工许愿卡内容大全
-
2025-12-22 07:39:19
-
- 手部痣相图解,手部痣相图解右手手背
-
2025-12-22 07:37:14
-
- 试婚纱多少钱一个小时?
-
2025-12-22 07:35:10
-
- 试错法四个步骤
-
2025-12-22 07:33:06
-
- 失去亲人的心理疏导
-
2025-12-22 07:31:01
-
- 生活中你会经常被蒙蔽吗?你最容易被什么蒙蔽?
-
2025-12-22 07:28:57
-
- 射手座最恐怖绝招就是这样让人心惊胆战!
-
2025-12-22 07:26:53
-
- 射手男一旦爱上狮子女(射手男狮子女恋爱模式狮子女追射手男技巧)
-
2025-12-22 07:24:48



一毛不捐的明星名单(一毛不拔的4位明星,人前爱国捞金,人后却“分毫不捐”)
北京黑道大哥排名(加代在北京大哥里排第几)